- Extraversion und Introversion
- Psychologische Funktionen: Wahrnehmung von Invarianten (Empfindung), Wahrnehmung von Veränderungen (Intuition), Fühlen, Denken
- Modell des Bewusstseins
Die Struktur des Bewusstseins ist asymmetrisch → mehr dazu: Asymmetrie als grundlegende Eigenschaft alles Lebendigen
Was ist ein Modell des Bewusstseins?
Die Psychologie beschreibt oft einzelne Funktionen,
aber selten ihre Struktur und ihr Zusammenspiel.
Dieses Modell zeigt,
wie Funktionen ein System bilden
und wie unterschiedliche Bewusstseinsmodi entstehen.
Modell des Bewusstseins
Über den Aufbau des Modells
Das vorgeschlagene Modell des Bewusstseins stellt eine formale Rekonstruktion der Typologie C. G. Jungs dar.
Ein Teil der Aussagen wird aus seinen Arbeiten in unveränderter Form übernommen; ein anderer Teil wird als Axiome eingeführt, die für die logische Widerspruchsfreiheit und strukturelle Geschlossenheit des Modells notwendig sind.
Insbesondere wird im Modell das Prinzip der gerichteten Asymmetrie der Funktionsdifferenzierung angenommen. Dieses Prinzip wird nicht unmittelbar aus Jungs Texten abgeleitet, sondern als grundlegende Annahme eingeführt, die es erlaubt, die Dynamik des Bewusstseins, die Kompensation der Einstellungen und den Unterschied zwischen zwei Funktionsmodi zu erklären.
Jungsche Grundannahmen
Zwei Einstellungen
Das Bewusstsein befindet sich in einer von zwei möglichen Einstellungen;
die unbewusste Einstellung ist der bewussten entgegengesetzt
(wenn die bewusste Einstellung extravertiert ist, dann ist die unbewusste introvertiert – und umgekehrt).
Vier Funktionen
Nach Jung können alle vier Funktionen bewusst sein.
Wir nehmen an, dass alle vier Funktionen auch unbewusst sein können.
Gegensätze
Denken und Fühlen sind einander entgegengesetzte Funktionen.
Intuition und Empfindung sind einander entgegengesetzte Funktionen.
Differenzierung = Gliederung
Ein Funktionselement ist ein einzelner, unterscheidbarer Bestandteil des Funktionsinhalts.
Eine differenzierte Funktion ist eine Funktion, deren Inhalt aus Elementen besteht.
Undifferenziertheit = Verschmelzung
Eine undifferenzierte Funktion ist eine Funktion, die in ihren Teilen und mit anderen Funktionen verschmolzen ist.
Haupt- und Hilfsfunktion – beide bewusst
Daraus folgt, dass Haupt- und Hilfsfunktion entweder beide extravertiert oder beide introvertiert sind.
Rational ↔ irrational
Ist die Hauptfunktion irrational, so muss die Hilfsfunktion rational sein;
ist die Hauptfunktion rational, so muss die Hilfsfunktion irrational sein.
Was wir beim Aufbau des Modells als Axiome annehmen
Hauptfunktion
Die Elemente der Hauptfunktion entstehen spontan als eigener Prozess des Bewusstseins und ohne Verbindung mit anderen Funktionen.
Die Hauptfunktion ist immer differenziert.
Beginn der Elementbildung
Der Beginn der Bildung eines Elements ist nur in der bewussten Einstellung möglich.
Da wir den Moment der Entstehung eines Elements außerhalb des Bewusstseins nicht beobachten, wird im Modell der Beginn seiner Bildung der bewussten Einstellung zugeschrieben.
Bildung eines Elements als Absonderung
Bei der Bildung eines Funktionselements wird zugleich der Inhalt der entgegengesetzten Funktion abgesondert.
Verbindung von Elementen
Elemente können nur dann direkt miteinander verbunden sein, wenn eines rational und das andere irrational ist.
Das Element der Hilfsfunktion kann nur in Verbindung mit einem bereits bestehenden Element der Hauptfunktion entstehen.
Das Element der dritten Funktion kann nur in Verbindung mit einem bereits bestehenden Element der Hilfsfunktion entstehen.
Bewusstheit als Folge der Differenzierung
Eine differenzierte Funktion ist bewusst, unabhängig davon, ob ihre Einstellung mit der der Hauptfunktion übereinstimmt oder nicht.
Prinzip der Asymmetrie
Die Differenzierung der Funktionen verteilt sich nicht symmetrisch.
Die Hilfsfunktion ist immer differenziert, während die ihr entgegengesetzte Funktion in derselben Einstellung immer undifferenziert ist.
Dieses Prinzip wird als fundamentale Bedingung für die Widerspruchsfreiheit des Modells und die Richtung seiner Dynamik eingeführt.
Aufbau des Modells
Das Schema des Modells besteht aus acht Positionen.
Positionen 1–4: vier Funktionen in bewusster Einstellung.
Positionen 5–8: vier Funktionen in unbewusster Einstellung.
1 – Hauptfunktion
2 – Hilfsfunktion
3 – der Hauptfunktion entgegengesetzte Funktion
4 – der Hilfsfunktion entgegengesetzte Funktion
5 – der Hauptfunktion entgegengesetzte Funktion (in unbewusster Einstellung)
6 – der Hilfsfunktion entgegengesetzte Funktion (in unbewusster Einstellung)
7 – Hauptfunktion in unbewusster Einstellung
8 – Hilfsfunktion in unbewusster Einstellung

Damit ist das Schema vollständig bestimmt, sobald Einstellung, Hauptfunktion und Hilfsfunktion festgelegt sind. Der psychologische Typ ist somit eindeutig bestimmt, wenn Einstellung, Haupt- und Hilfsfunktion benannt sind.
Ein Funktionselement wird als Kreis dargestellt. Undifferenzierter Funktionsinhalt wird als „Wolke“ dargestellt.
Bildung der Funktionen

Auf der Abbildung wird die Bildung eines Elements der Hauptfunktion gezeigt, gleichzeitig mit der Bildung des Inhalts der entgegengesetzten fünften (inferioren) Funktion in der unbewussten Einstellung.

Die Bildung eines Elements der zweiten Funktion erfolgt in Verbindung mit einem bereits vorhandenen Element der Hauptfunktion.
Gleichzeitig mit der zweiten Funktion entstehen auch die sechste sowie die vierte und achte Funktion. Dabei laufen drei Prozesse gleichzeitig und unabhängig voneinander ab:
– Absonderung des Inhalts der zweiten und vierten Funktion voneinander.
– Absonderung undifferenzierten Inhalts der vierten Funktion aus dem Inhalt der zweiten.
– Absonderung undifferenzierten Inhalts der achten Funktion aus dem Inhalt der sechsten.
Der Prozess der Bildung der sechsten Funktion verläuft im Unbewussten. Da sie jedoch als differenzierte Funktion gebildet wird, wird ihr Ergebnis bewusst.
Bewusst wird nicht der Bildungsprozess selbst, sondern nur das fertige Ergebnis, das plötzlich und in einem einzigen Moment erscheint. Dies wird als Aha-Erlebnis, plötzliche Erhellung oder plötzliches klares Verstehen erlebt.
Ihre Einstellung bleibt der Einstellung der Hauptfunktion entgegengesetzt und wirkt daher kompensatorisch.

Das Element der dritten Funktion entsteht nur in Verbindung mit einem bereits vorhandenen Element der zweiten (Hilfs-)Funktion.
Die dritte Funktion ist der Hauptfunktion entgegengesetzt, befindet sich jedoch – anders als die inferiore Funktion – in der bewussten Einstellung. Mit der dritten Funktion sind alle vier Funktionen im Bewusstsein präsent, und alle sind differenziert.
Bei der Bildung der dritten Funktion wird zugleich der Inhalt der siebten Funktion abgesondert.
Die siebte Funktion wird — wie die sechste Funktion — als differenzierte Funktion gebildet und wird deshalb bewusst.
Der Prozess der Bildung der siebten Funktion verläuft im Unbewussten, und sie wird ebenso plötzlich und in einem einzigen Moment bewusst — als fertiges Ergebnis — wie die sechste Funktion.
Die siebte Funktion ist dieselbe Grundfunktion wie die Hauptfunktion, jedoch in der anderen Einstellung. Sie wird als Präzisierung oder Korrektur der ursprünglichen Wahrnehmung oder Beurteilung erlebt.
Sie dient direkt der Kompensation und verhindert die Einseitigkeit der Hauptfunktion.
Das Modell ist dreidimensional und ringförmig
Das Modell ist dreidimensional und ringförmig. Daher können die vierte und die achte Funktion im Schema links von der Hauptfunktion angeordnet werden.
Die vierte Funktion ist der zweiten (Hilfs-)Funktion entgegengesetzt und befindet sich in derselben Einstellung wie die Hilfs- und die Hauptfunktion.
Jung bezeichnete die Hilfsfunktion auch als sekundäre Funktion. In unserem Modell nennen wir die vierte Funktion – entsprechend ihrer Position im Schema – die linke sekundäre Funktion, die Hilfsfunktion hingegen die rechte sekundäre Funktion.
Beide sekundären Funktionen können – in Verbindung mit einem bereits vorhandenen Element der Hauptfunktion – alternativ aktiviert werden.

Wird die rechte sekundäre Funktion aktiviert, bleibt die linke sekundäre passiv;
wird dagegen die linke sekundäre Funktion aktiviert, bleibt die rechte sekundäre inaktiv – und mit ihr bleiben auch die dritte, sechste und siebte Funktion inaktiv.
Was geschieht, wenn die vierte Funktion aktiviert wird?

Da sie undifferenziert ist, verschmilzt sie mit zwei benachbarten, ebenfalls undifferenzierten Funktionen – der achten und der fünften.
Das Bewusstsein wird dann von undifferenziertem Inhalt der vierten, fünften und achten Funktion erfüllt.
Die einzige differenzierte Funktion ist in diesem Zustand die Hauptfunktion.
Dies ist jener Bewusstseinszustand, den Jung als Einseitigkeit oder Ungleichgewicht bezeichnete.
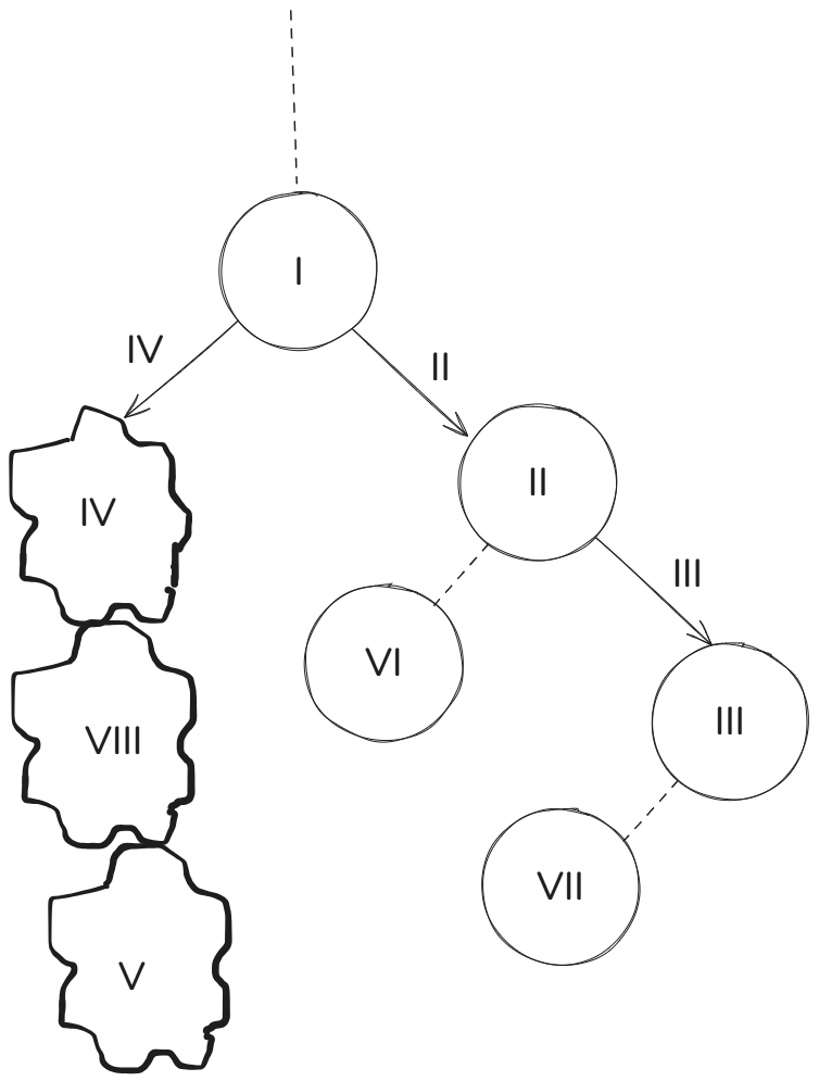
Zwei alternative Wege des Bewusstseins
Das Bewusstsein kann nur in einer von zwei strukturellen Konfigurationen existieren: im linken oder im rechten Weg.
Die folgende Abbildung zeigt zwei alternative Wege des Bewusstseins:
– den linken Weg, wenn die vierte Funktion aktiviert ist,
– den rechten Weg, wenn die zweite Funktion aktiviert ist.

Die vierte und die zweite Funktion können nicht gleichzeitig aktiv sein.
Ist die vierte Funktion eingeschaltet, so ist die zweite ausgeschaltet;
ist die zweite Funktion eingeschaltet, so bleibt die vierte inaktiv.
Die Aktivierung einer dieser Funktionen bedeutet die Aktivierung der gesamten Konfiguration des entsprechenden Weges.
Der Wechsel zwischen der zweiten und der vierten Funktion erfolgt in einem einzigen Moment, nicht graduell, und ist jederzeit in beide Richtungen möglich.
Die Hauptfunktion kann kontinuierlich arbeiten, und sie funktioniert spontan, ohne bewusst gesteuert zu werden,
während die zweite oder die vierte Funktion bewusst aktiviert werden können.
Die spontane, nicht bewusst gesteuerte Aktivierung von Funktionen ist in der Abbildung durch gestrichelte Linien dargestellt; die bewusste Aktivierung durch Pfeile.
Beispiel: Typ ITN
Das Modell des Bewusstseins ist (oben) in allgemeiner Form dargestellt sowie (unten) exemplarisch für den Typ ITN:
ein Introvertierter mit der Hauptfunktion Denken (Ti) und der Hilfsfunktion Wahrnehmung von Veränderungen (Ni).

Rechter Weg
Alle vier Funktionen sind differenziert und aktiv:
Denken
– I Ti (Hauptfunktion, introvertierte Einstellung)
– VII Te (in entgegengesetzter Einstellung)
Wahrnehmung von Veränderungen
– II Ni (Hilfsfunktion)
Fühlen
– III Fi (dritte Funktion)
Wahrnehmung von Invarianten
– VI Se
Das Denken ist am stärksten differenziert, da es in beiden Einstellungen präsent ist.
Linker Weg
Alle vier Funktionen sind aktiv, aber nur die Hauptfunktion ist differenziert:
I Ti – differenziert
IV Si – undifferenziert
V Fe – undifferenziert
VIII Ne – undifferenziert
Die Funktionen verschwinden nicht. Der Unterschied liegt nicht in der Anzahl der Funktionen, sondern im Status ihrer Differenzierung und strukturellen Verknüpfung.